h-logo

公众号文章

珠海市第一中等职业学校2025年自主招生考察资格审核通过名单公示

来源:     发布时间:2025-04-25

2025年自主招生考察

资格审核通过名单公示

珠海市第一中等职业学校

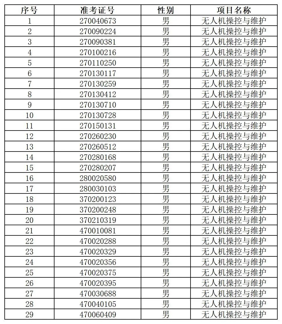
珠海市第一中等职业学校2025年计划自主招生人数45人,分体育特长类和专业技能类两大类型。根据《珠海市第一中等职业学校2025年自主招生方案》要求,我校招生资格审核小组于4月12日-4月20日对自主招生报名材料进行严格审核。经学校自主招生工作领导小组研究决定,现将具备我校考察资格的464名学生名单公布如下:

体育特长类-篮球

体育特长类-排球

体育特长类-羽毛球

体育特长类-足球

体育特长类-田径

专业技能类-计算机平面设计

专业技能类-艺术设计与制作

专业技能类-无人机操控与维护

祝贺通过资格审核的同学!希望同学们积极备考,取得优异成绩!

温馨提示:

1.准考证发放安排:考试当天提前半小时现场发放。

2.自主招生考察时间:2025年7月7日。

3.考察结果公布时间:2025年7月10日-7月12日。



供稿 | 教务处

一审  |  林旭钿

二审  |  邓   谦

三审  |  范顺俊

排版  |  范   欣

校对  |  林栋超

责编  |  张   妍

企业微信登录
密码登录
忘记密码?立即找回
找回密码
已有账号,立即登录